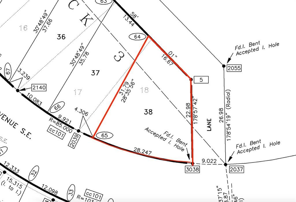
Terrain À vendre à Drumheller, Alberta
64 500 $None Chambres
-
Détails
-
Carte
-
Données démographiques
-
Vue de la rue
-
Itinéraire
-
Publicité




























